稀释制冷循环是目前实现mK温区制冷的主要技术手段之一。在mK温区,相比较绝热去磁制冷、蒸发制冷等循环方式,稀释制冷循环具有天然的连续制冷、无电磁干扰、更低制冷温度等突出优点,因而在量子科技等重要领域获得了广泛应用,例如稀释制冷机便是为超导、拓扑等量子计算系统提供极低温工作环境的关键部件。
稀释制冷机根据是否采用液氦作为前级预冷分为“湿式”和“干式”两种。“湿式”机型在实际操作中存在诸多不便,且液氦的消耗也使得成本变得更为高昂,目前实际中已很少采用。“干式”稀释制冷机一般需采用液氦温区高功率脉冲管制冷机作为前级预冷手段,是目前的主要应用形式。“干式”稀释制冷机也常称为无液氦稀释制冷机。
我国在无液氦稀释制冷机的理论和样机研制方面起步较晚。目前其研究和发展虽受到高度重视,且在国内多个有代表性的研究机构进行了布局,但总体发展状况并不理想,主要表现在技术链不完整、对深层的内部循环运行机制研究匮乏、实用化机型研制进展缓慢、典型温区的制冷量与国际最好水平相差悬殊等诸多方面。
本公司技术总监党海政教授带领的研究团队,联合中国科学院上海技术物理研究所红外物理国家重点实验室、上海量子科学研究中心等国内优势力量,基于联合研究团队前期在多级高频脉冲管制冷机(五级高频脉管2.2K,见本公司2023年1月11日新闻)、复合制冷机(四级脉管+JT,1.36K世界同类机型最低温度,见本公司2022年4月18日新闻转载)的基础上,开展了国产化全技术链mK温区大制冷量无液氦稀释制冷机的理论和实验研究工作,经过刻苦攻关,取得重要进展。
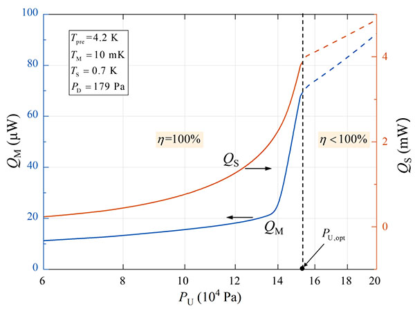
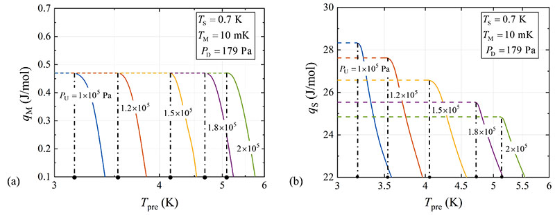
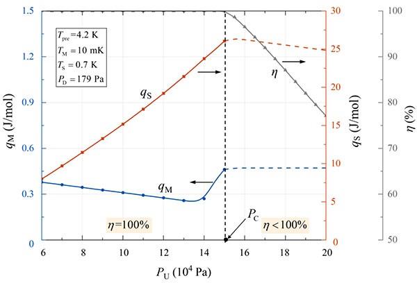
研究团队首先以热力学第一定律为基础,建立从常温到mK温区的焓流模型,对稀释制冷机的内部运行机制、比蒸馏加热功率、第一级换热器效率、最优上游压力和预冷温度等进行了系统分析,为稀释制冷机的性能优化提供了有益的理论指导。根据上述模型,该稀释制冷机的最低温度低于5mK,且在10mK、20mK和100mK的净制冷量分别可达38.5μW、65μW和1.8mW,相关制冷量大幅度高于目前国际最好商业化机型在相关温区的相应制冷能力。
研究团队随后以该模型为基础,对稀释制冷机的各关键部件进行了专题研究,并在此基础上开展了实际整体样机的研制。相关实验进展顺利,实验与理论数据变化趋势吻合良好。相关研究结果在低温制冷以及应用超导领域的国际期刊《Cryogenics》、《IEEE Transactions on Applied Superconductivity》上连续发表。

<图5>

<图6>

<图7>

<图8>

<图9>

<图10>
以上研究得到国家自然科学基金、上海市“量子信息技术”市级重大科技专项、上海市科委重大项目等研究计划的支持,特此致谢。
【附】已发表的系列学术论文链接如下:
(1)https://doi.org/10.1016/j.cryogenics.2023.103731.
(2)https://doi.org/10.1109/TASC.2023.3349370.
(3)https://doi.org/10.1109/TASC.2024.3350594.